全国2008年10月高等教育自学考试Java语言程序设计
编辑整理:浙江自考网 发表时间:2018-05-24 【大 中 小】
全国2008年10月高等教育自学考试Java 语言程序设计(一)试题
课程代码:04747
一、单项选择题(本大题共10小题,每小题1分,共10分)
在每小题列出的四个备选项中只有一个是符合题目要求的,请将其代码填写在题后的括号内.错选、多选或未选均无分.
1.下述字符组合不能作为Java程序标识符的是( )
A.Aa12
B.大x
C.y小
D.5x
2.以下程序代码的输出的结果是( )
int x=53;
System. out. println(1.0+x/2);
A.27.0
B.27.5
C.1.026
D.1.026.5
3.参照以下Java代码,以下四个叙述中最确切的是( )
class A{
int x; static int y;
void fac(String s){Syatem. out. println("字符串:"+s);}
}
A.x、y和s都是成员变量
B.x是实例变量、y是类变量、s是局部变量
C.x和y是实例变量、s是参数
D.x、y和s都是实例变量
4.需要分析字符串,并将字符串分解成可被独立使用的单词,可使用java. util包中的类是( )
A.String
B.StringBuffer
C.StringTokenizer
D.stringTokenizer
5.要为程序的子窗口设定一个由字符串s指定的名字,可以采用的代码是( )
A.JFrame(s)
B.window(s)
C.new JFrame(s)
D.super(s)
6.以下关于菜单的叙述中,正确的是( )
A.菜单分三级定义,最高一级的是菜单条,菜单条中放菜单,菜单中放菜单项
B.菜单分三级定义,最高一级的是菜单,菜单中放菜单条,菜单条中放菜单项
C.菜单分两级定义,最高一级的是菜单,菜单中放菜单项
D.菜单分两级定义,最高一级的是菜单条,菜单条中放菜单项
7.以下所述内容全部是字型要素的是( )
A.字体、字形和大小
B.字体、风格和字号
C.字形、风格和字号
D.字形、颜色和字号
8.用Thread子类实现多线程的步骤顺序是( )
A.声明Thread类的子类,创建Thread子类的实例,让线程调用start()方法
B.声明Thread类的子类,在子类中重新定义run()方法,创建Thread子类的实例
C.创建Thread子类的实例,让线程调用start()方法
D.声明Thread类的子类,在子类中重新定义run()方法,创建Thread子类的实例,让线程调用start()方法
9.为16位Unicode字符流提供读和写操作支持的类分别是( )
A.FileInputStream类和FileOutputStream类
B.InputStream类和OutputStream类
C.FileReader类和FileWriter类
D.File_Reader类和File_Writer类
10.能利用对象提供的方法获得流对象和实现网络连接的是( )
A.URLConnection对象
B.URL对象
C.InetAddress对象
D.TCP/IP对象
二、填空题(本大题共10小题,每小题2分,共20分)
请在每小题的空格中填上正确答案.错填、不填均无分.
11.一个小应用程序必须定义成一个_________.
12.用条件运算符构造一个表达式:goal等于10时,表达式的值为"对了!",否则,表达式的值为"错了!".这个表达式是_________.
13.类是对一组相同对象的描述,类概括了同类对象的共有性质:_________.
14.设有数组a和b的定义如下:
int[]a={1,2,3};int[]b={4,5,6}
……
执行以下代码"a=b;",除了完成赋值操作之外,引起系统额外要做的工作是_________.
15. _________布局使容器的多个组件拥有同一个显示空间,某一时刻只能显示一个组件.
16.Java语言为处理鼠标事件提供两个接口:_________接口和MouseMotionListener接口.
17.某个绘图方法设置成"异或模式"绘图,并用黄色作为异或模式设定的绘图颜色.如果当时背景色为红色,并用红色绘制线段,则线段的实际颜色是_________.
18.程序员用Java语言编写多线程应用程序,程序员能控制的关键性工作有两个方面:一是编写线程的_________方法;二是建立线程实例.
19.BufferedWriter类是提供缓冲式输出的类.程序需要先创建_________对象,再利用这个对象创建BufferedWriter对象.
20.在Java语言中,客户端使用的套接字类是_________.
三、简答题(本大题共6小题,每小题3分,共18分)
21.请写出表示条件"x=2与y=3有且只有一个成立"的Java表达式".
22.如果类Student是类Person的子类,类Undergraduate是类Student的子类,请指出以下代码行中哪些是不合法的.
Person p1=new Student();
Person p2=new Undergraduate();
Student s1=new Person();
Student s2=new Undergraduate();
Undergraduate ug1=new Person();
Undergraduate ug2=new Student();
Object ob=new Student();
23.请写出程序处理文本框输入结束事件(回车)添加监视器的方法,以及监视器类必须实现的接口方法.
24.请写出一条语句,能够绘制一条从点(20,30)开始,长为100像素的水平线段.设调用的对象是类型为Graphics的g.
25.某Java程序要使用文件输入输出流,请写出该程序所需要的import语句.
26.JDBC是Java程序与数据库连接的API,请写出JDBC能做的三件事情.
四、程序填空题(本大题共5小题,每空2分,共20分)
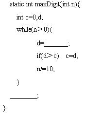
27.方法int maxDigit(int n)的功能是找出十进制整数n各位中最大的一位数字.例如,n=23765,该方法的返回值是7.
28.某程序的界面包含一个文本区text1、一个文本框text2和一个按钮button.实现在文本区中输入整数序列后,点击按钮,程序响应按钮事件,累计文本区输入的整数序列,并将总和输出在文本框中.这里给出的是其中相应按钮事件的方法.
29.以下是生成菜单项对象,以及菜单项选择事件处理方法的部分代码.要求当菜单项singingItem被选中时,在文本框text中输出"唱歌菜单项被选中!"的字样.
30.某小应用程序实现幻灯片放映.小应用程序的init()方法将幻灯片读入数组中存储和注册鼠标监视器.程序运行时,单击鼠标,就顺序变换放映幻灯片的序号.这里给出的是其中的paint()方法和mousePressed()方法.
五、程序分析题(本大题共5小题,每小题4分,共20分)
32.阅读下列程序,请写出该程序的输出结果.

34.阅读下列程序,请写出该程序的功能.

35.阅读以下程序,请写出该程序的功能.
36.小应用程序创建一个线程.例子使用容器类方法getGraphics()获得Graphics对象,给线程作为画笔使用.请写出该程序中这个线程的工作内容.
[1]
浙江自考网声明:
1、由于各方面情况的调整与变化,本网提供的考试信息仅供参考,考试信息以省考试院及院校官方发布的信息为准。
2、本网信息来源为其他媒体的稿件转载,免费转载出于非商业性学习目的,版权归原作者所有,如有内容与版权问题等请与本站联系。
浙江自考便捷服务
浙江自考网微信交流群
