全国2008年4月高等教育自学考试政治经济学(财)
编辑整理:浙江自考网 发表时间:2018-05-24 【大 中 小】
全国2008年4月高等教育自学考试
政治经济学(财)试题
课程代码:00009
一、单项选择题(本大题共30小题,每小题1分,共30分)
在每小题列出的四个备选项中只有一个是符合题目要求的,请将其代码填写在题后的括号内.错选、多选或未选均无分.
1.19世纪中期创立的马克思主义政治经济学着重研究( )
A.封建主义生产关系
B.资本主义生产关系
C.社会主义生产关系
D.共产主义生产关系
2.经济规律具有客观性,意味着人们( )
A.只能接受经济规律的摆布
B.无法改变经济规律作用的后果
C.认识和不认识经济规律都一样
D.必须按经济规律办事才能实现自己的目的
3.生产、分配、交换和消费是( )
A.互不相干的四个独立过程
B.相互平行的四个过程
C.社会生产总过程中相互联系的四个环节
D.以消费为主导组成的总过程
4.内涵扩大再生产是指( )
A.粗放型的扩大再生产
B.没有积累的扩大再生产
C.靠提高劳动生产率实现的扩大再生产
D.靠增加生产要素实现的扩大再生产
5.不同商品之所以能按一定的比例相交换,其原因是所有商品都( )
A.具有使用价值
B.是具体劳动的结果
C.凝结着一定量的人类劳动
D.是体力劳动的结果
6.生产商品的劳动二重性是( )
A.私人劳动和社会劳动
B.简单劳动和复杂劳动
C.必要劳动和剩余劳动
D.具体劳动和抽象劳动
7.介于国家与市场之间、市场与企业之间为市场供求双方提供服务的机构是( )
A.市场流通组织
B.市场营销组织
C.市场管理组织
D.市场中介组织
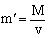
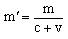
8.剩余价值率的公式是( )
A. 
B. 
C. 
D. 
9.考察资本循环要以( )
A.借贷资本为对象
B.商业资本为对象
C.产业资本为对象
D.流动资本为对象
10.如果资本周转一次需要三年时间,那么,一年的周转次数是( )
A.4次
B.3次
C.2/3次
D.1/3次
11.资本主义经济危机的实质是( )
A.生产绝对过剩
B.生产相对过剩
C.人口绝对过剩
D.人口相对过剩
12.利息率是指一定时期内
A.剩余价值量与借贷资本总量的比率
B.利润量与借贷资本总量的比率
C.平均利润量与借贷资本总量的比率
D.利息量与借贷资本总量的比率
13.国家垄断资本主义在第二次世界大战后得到迅速而持续发展的根本原因是( )
A.科技革命迅猛发展
B.国内外市场相对狭小
C.资本主义基本矛盾加剧
D.发达国家与发展中国家矛盾加剧
14.资本全球化的发展趋势主要表现在( )
A.国际直接投资增长
B.世界产业结构发生调整
C.人民生活质量提高
D.商品生产大幅度增长
15.垄断资本主义条件下存在着"迅速发展的趋势"和"停滞趋势"的根源是( )
A.竞争
B.垄断
C.经济全球化
D.经济一体化
16.我国目前正处在( )
A.过渡时期
B.工业化初期
C.计划体制与市场体制并存期
D.社会主义初级阶段
17.评价社会主义所有制结构是否优越,主要看它是否( )
A.提高生产资料公有化程度
B.贯彻按劳分配原则
C.发挥国有经济的主导作用
D.有利于社会生产力的发展
18.在社会主义初级阶段,个人收入分配中属于按资分配方式的是( )
A.个体劳动者收入
B.私营企业主收入
C.雇佣劳动者收入
D.技术和风险收入
19.经济体制是经济制度的具体组织形式和管理制度,因此( )
A.经济制度相同的国家经济体制完全相同
B.经济制度不同的国家经济体制一定不同
C.经济制度不变则经济体制不会改变
D.经济制度相同的国家经济体制可以多种多样
20.市场经济( )
A.只存在于资本主义社会中
B.与社会主义根本不相容
C.可以存在于不同的社会制度中
D.存在于各种社会形态中
21.国有企业劳动者个人物质利益的要求主要是通过( )
A.国家计划分配来实现
B.国民收入再分配来实现
C.其所在企业来实现
D.协调各方经济利益来实现
22.社会主义市场体系包括( )
A.消费品市场和生产资料市场
B.消费品市场和劳动力市场
C.商品市场和生产资料市场
D.商品市场和生产要素市场
23.价格机制发挥作用的形式是( )
A.价格与价值的长期背离
B.价格与价值的完全相等
C.价格与价值的平行运动
D.价格围绕价值的波动
24.企业分配给职工的工资属于( )
A.国民收入的初次分配
B.国民收入的再分配
C.国民收入中的积累基金
D.国民收入中的社会后备基金
25.社会保障基金属于( )
A.积累基金
B.社会后备基金
C.社会消费基金
D.个人消费基金
26.保持经济总量平衡和促进经济结构优化是宏观调控的( )
A.基本任务
B.主要手段
C.重要杠杆
D.前提条件
27.税收属于( )
A.货币
B.财政政策
C.收入政策
D.产业政策
28.能够反映人们在生产过程中的劳动消耗和劳动占用同获得的有用成果的对比关系的范畴是( )
A.经济增长率
B.经济效益
C.GDP总量
D.经济结构
29.实现社会经济的可持续发展要求正确处理经济发展同( )
A.国家、集体、个人的相互关系
B.工业、农业、服务业的相互关系
C.人口、资源、环境的相互关系
D.速度、效益、比例的相互关系
30.对外开放是我国( )
A.历来实行的政策
B.现阶段的暂时举措
C.特有的经济政策
D.长期的基本国策
二、多项选择题(本大题共10小题,每小题2分,共20分)
在每小题列出的五个备选项中有二至五个是符合题目要求的,请将其代码填写在题后的括号内.错选、多选、少选或未选均无分.
31.任何社会的劳动过程都必须具有的基本要素是( )
A.劳动者的劳动
B.科学技术
C.劳动资料
D.经营管理
E.劳动对象
32.货币的基本职能是( )
A.价值尺度
B.流通手段
C.贮藏手段
D.支付手段
E.世界货币
33.从狭义看,产业结构可分为( )
A.两大部类产业结构
B.农轻重产业结构
C.传统与新兴产业结构
D.生产要素密集型产业结构
E.三次产业的产业结构
34.生产自动化条件下,剩余价值的源泉之所以是雇佣工人的剩余劳动,原因在于( )
A.自动化的机器不可能取代劳动的作用
B.自动化的机器不可能取代劳动者在生产中的主体地位
C.首先采用了自动化机器的企业可以大幅度提高劳动生产率
D.自动化机器的广泛采用可以提高资本有机构成
E.自动化机器代替了人的体力劳动和脑力劳动
35.经济全球化的积极作用主要是( )
A.有助于拉大各国之间的经济差距
B.有利于实现资源在全球范围的优化配置
C.有助于加速技术转让和产业结构调整进程
D.有助于完善国际经济组织和规则
E.有利于缓和国际上存在的一些矛盾
36.坚持和完善社会主义初级阶段的基本经济制度必须( )
A.毫不动摇地巩固和发展公有制经济
B.毫不动摇地发展市场经济
C.毫不动摇地建立现代企业制度
D.毫不动摇地鼓励、支持和引导非公有制经济发展
E.把坚持公有制为主体、促进非公有制经济发展,统一于社会主义现代化建设进程中
37.消费结构变化的规律性表现为( )
A.由温饱型消费结构向富裕型消费结构发展
B.由温饱型消费结构向享受型消费结构发展
C.由低消费结构向高消费结构发展
D.由主要是物质生活消费向更多的精神消费扩展
E.由文化消费向更多的物质生活消费扩展
38.现代企业制度中出资者享有的权益包括( )
A.生产经营权
B.资产受益权
C.重大决策权
D.生产指挥权
E.选择管理者的权利
39.我国政府所具有的经济职能包括( )
A.作为生产经营主体具有的职能
B.作为国有资产所有者具有的职能
C.作为市场主体具有的职能
D.作为社会管理者具有的职能
E.作为经济运行的宏观调控者具有的职能
40.我国利用外资的主要形式有( )
A.外国政府的贷款
B.国际组织提供的贷款
C.外国商业银行的贷款
D.外商直接投资
E.出口信贷
三、简答题(本大题共5小题,每小题6分,共30分)
41.简述价格机制对市场经济运行和发展的作用.
42.资本主义国民收入经过初次分配后,为什么还要进行再分配?
43.简述国家垄断资本主义的基本形式和实质.
44.为什么要坚持国有经济的主导地位?
45.为什么我国把对外开放作为长期的基本国策?
四、论述题(本大题共3小题,每小题10分,本大题20分.以下3题,第46题必答,从第47、48题中任选一题作答,如全答只判第47题.)
46.如何全面认识公有制经济的含义?
47.试述生产价格是价值的转化形式.
48.试述建立公正合理的国际经济新秩序的主要途径.
浙江自考网声明:
1、由于各方面情况的调整与变化,本网提供的考试信息仅供参考,考试信息以省考试院及院校官方发布的信息为准。
2、本网信息来源为其他媒体的稿件转载,免费转载出于非商业性学习目的,版权归原作者所有,如有内容与版权问题等请与本站联系。
浙江自考便捷服务
浙江自考网微信交流群
