2018年浙江自考高等数学(一)基础知识点(1)
编辑整理:浙江自考网 发表时间:2018-09-11 【大 中 小】
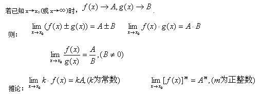
函数极限的运算规则
前面已经学习了数列极限的运算规则,我们知道数列可作为一类特殊的函数,故函数极限的运算规则与数列极限的运算规则相似。
⑴、函数极限的运算规则
在求函数的极限时,利用上述规则就可把一个复杂的函数化为若干个简单的函数来求极限。

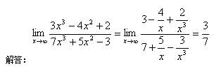
此题如果像上题那样求解,则会发现此函数的极限不存在.我们通过观察可以发现此分式的分子和分母都没有极限,像这种情况怎么办呢?下面我们把它解出来。

注:通过此例题我们可以发现:当分式的分子和分母都没有极限时就不能运用商的极限的运算规则了,应先把分式的分子分母转化为存在极限的情形,然后运用规则求之。

浙江自考网声明:
1、由于各方面情况的调整与变化,本网提供的考试信息仅供参考,考试信息以省考试院及院校官方发布的信息为准。
2、本网信息来源为其他媒体的稿件转载,免费转载出于非商业性学习目的,版权归原作者所有,如有内容与版权问题等请与本站联系。
浙江自考便捷服务
浙江自考网微信交流群
